Food Additives
Offered products are in compliance and conformity with the set regulatory standards of International quality. We make use of proper packaging materials to ensure longer shelf life and safe dispatch.
| S No | Name of the Product | Structure | CAS NO | Therapeutic Category |
|---|---|---|---|---|
| 1 | Allopurinol | ![]() |
315-30-0 | Treat gout and certain types of kidney stones. |
| 2 | Acebrophylline | ![]() |
96989-76-3 | Chronic obstructive pulmonary disease (COPD) and bronchial asthma. |
| 3 | Aceclofenac | ![]() |
89796-99-6 | Non steroidal anti-inflammatory drug (NSAID) |
| 4 | Ambroxol Hydrochloride | ![]() |
23828-92-4 | Mucolytic Agent |
| 5 | Clopidogrel Bisulfate | ![]() |
120202-66-6 | Prevent blood clots |
| 6 | Diclofenac diethylamine | ![]() |
78213-16-8 | Non steroidal anti-inflammatory drug (NSAID) |
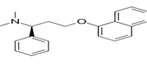
| 7 | Dapoxetine Hydrochloride | ![]() |
119356-77-3 | Premature ejaculation |
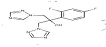
| 8 | Dexmedetomidine Hydrochloride | ![]() |
113775-47-6 | Sedative |
| 9 | Ethyl Maltol | ![]() |
4940-11-8 | Flavor enhancer, Food additive |
| 10 | Ezetimibe | ![]() |
163222-33-1 | Dyslipidemic agent |
| 11 | Ferric carboxymaltose | ![]() |
9007-72-1 | Treat iron-deficiency anemia |
| 12 | Ferric chloride hexahydrate | ![]() |
10025-77-1 | Intermediate for Ferric Carboxy Maltose, Polysaccharide Iron Chloride |
| 13 | Fexofenadine Hydrochloride | ![]() |
153439-40-8 | Antihistamine |
| 14 | Fluconazole | ![]() |
86386-73-4 | Antifungal agents |
| 15 | Guaifenesin | ![]() |
93-14-1 | Treats cough and chest congestion. |
| 16 | Linagliptin | ![]() |
668270-12-0 | Teat type 2 diabetes |
| 17 | Maltol | ![]() |
118-71-8 | Flavor enhancer, Food additive, Pharmaceutical intermediate |
| 18 | Mefenamic Acid | ![]() |
61-68-7 | Non steroidal anti-inflammatory drug (NSAID) |
| 19 | Nebivolol Hydrochloride | ![]() |
152520-56-4 | Treat hypertension |
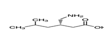
| 20 | Pregabalin | ![]() |
148553-50-8 | Anticonvulsant |
| 21 | Rosuvastatin Calcium | ![]() |
287714-41-4 | Treat high cholesterol |
| 22 | Sitagliptin | ![]() |
486460-32-6 | Treat type 2 diabetes |
| 23 | Vildagliptin | ![]() |
274901-16-5 | Treat type 2 diabetes |
| 24 | Vardenafil | ![]() |
224785-90-4 | Treat erectile dysfunction |
| Oncology | ||||
| 1 | Abiraterone Acetate | ![]() |
154229-18-2 | Treat prostate cancer. |
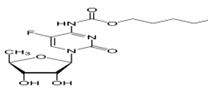
| 2 | Capecitabine | ![]() |
154361-50-9 | Chemotherapy drug |

























